Промышленный лизинг Промышленный лизинг  Методички 

1 2 3 4 5 6 7 8 9 10 11 12 13 14 15 16 17 18 19 20 21 22 23 24 25 26 27 28 29 30 31 32 33 34 35 36 37 38 39 40 41 42 43 44 45 46 47 48 49 50 51 52 53 54 55 56 57 58 59 60 61 62 63 64 65 66 67 68 69 70 71 [ 72 ] 73 74 75 76 77 78 79 80 81 82 83 84 85 86 87 88 89 90 91 92 93 94 95 96 97 98 99 100 101 102 103 104 105 106 107 108 109 110 111 112 113 114 115 116 117 118 119 120 121 122 123 124 125 126 127 128 129 130 131 132 133 134 135 136 137 138 139 140 141 142 143 144 145 146 147 148 149 150 151 152 153 154 155 156 157 158 159 160 161 162 163 164 165 166 167 168 169 170 171 172 173 174 175

у = \п(х).

Предварительный результат

00 00

J/(x)dx = jgWy = /<*) = g<J)- x У , *

Математическое ожидание-

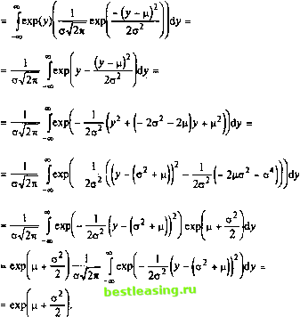
Е(Х) = JV(x)dx = о

= /ехрООяООФ =


Дисперсия

VAR(A) = ДА2) - (ЩХ))2.



= f ехр(2у)-т=ехр

- <w2n .

-> 1 = ехр(2ц + 2аг)

J exp

= ехр(2ц + 2a2).

л VAR(X) = ехр(2ц + 2a2) - ехр2(ц + c72) =

= ехр(2ц + 2o2) - ехр(2ц + a2) = ехр(2ц + a2)(exp(a2)-1).

□о

Е(Х2)= jx2f(x)6x = о

= lexp(2y)g(y)dy =



СТАТИСТИЧЕСКИЕ ВЫВОДЫ: ДОВЕРИТЕЛЬНЫЕ ИНТЕРВАЛЫ И ПРОВЕРКА ГИПОТЕЗ

Введение

Теория выборочного наблюдения

Выборочное распределение выборочных показателей

Оценивание и доверительные интервалы

Доверительные интервалы

Объем выборки

Доверительный интервал для дисперсии

Проверка гипотез

Стандартизованный статистический критерий

Ошибки I и II рода

Проверка гипотезы о величине генеральной средней

Классическая односторонняя проверка

Проверка гипотезы о величине дисперсии

Проверка гипотезы методом определения уровня вероятности

/-проверка для дисперсии

Проверка степени соответствия Упражнения

Список рекомендуемой литературы Приложение

ВВЕДЕНИЕ

Данные, с которыми нам предстоит работать, могут представлять собой полный набор данных, который в этом случае называют генеральной совокупностью (population), а описательные статистические показатели известны как статистические показатели генеральной совокупности (population statistics), или параметры генеральной совокупности (population parameters). Или же данные могут представлять собой выборку из общего объема наблюдений за какой-либо переменной, в этом случае пользуются



1 2 3 4 5 6 7 8 9 10 11 12 13 14 15 16 17 18 19 20 21 22 23 24 25 26 27 28 29 30 31 32 33 34 35 36 37 38 39 40 41 42 43 44 45 46 47 48 49 50 51 52 53 54 55 56 57 58 59 60 61 62 63 64 65 66 67 68 69 70 71 [ 72 ] 73 74 75 76 77 78 79 80 81 82 83 84 85 86 87 88 89 90 91 92 93 94 95 96 97 98 99 100 101 102 103 104 105 106 107 108 109 110 111 112 113 114 115 116 117 118 119 120 121 122 123 124 125 126 127 128 129 130 131 132 133 134 135 136 137 138 139 140 141 142 143 144 145 146 147 148 149 150 151 152 153 154 155 156 157 158 159 160 161 162 163 164 165 166 167 168 169 170 171 172 173 174 175